- Inicio
- Latest Releases
- News
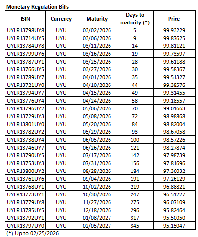
- Elegible securities' prices for Nominal Fixed-Rate Pesos Treasury Notes Series 12
Elegible securities' prices for Nominal Fixed-Rate Pesos Treasury Notes Series 12
February 24th, 2026. The Republic announces the prices to be paid for the elegible securities in today's Nominal Fixed-Rate Pesos Treasury Notes auction.
Excel: Eligible securities prices.











